Vison's Blog
所有文章
文章总览
编辑器
Publications
About Me
Search
目录
#toc-container
下载Markdown文件
论文笔记: Predicting Survival After Hepatocellular Carcinoma Resection Using Deep Learning on Histological Slides
2024年04月03日 18时38分
标签:
论文笔记
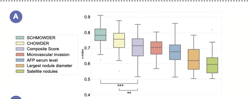
# [论文标题]: Predicting Survival After Hepatocellular Carcinoma Resection Using Deep Learning on Histological Slides # [论文摘要]: * 背景与目的 对于肝细胞癌症患者,标准化的和鲁棒的风险分层系统是必要的,其可以提高治疗策略,并探索在手术切除/经皮穿刺后辅助系统治疗效果的提升 * 方法和结果 在本研究中,我们使用了两种基于全切片数字化组织学切片的深度学习算法来预测手术切除的HCC患者的生存。我们研究了两个独立的系列:一个用于开发算法的发现集(Henri Mondor Hospital, n = 194)和一个独立的验证集(The Cancer Genome Atlas [TCGA], n = 328)。首先将wsi划分为小方块(“tiles”),并使用预先训练好的卷积神经网络(预处理步骤)提取特征。第一个基于深度学习的算法(“SCHMOWDER”)使用了病理学家注释的肿瘤区域的注意机制,而第二个算法(“CHOWDER”)不需要人类的专业知识。在发现集中,SCHMOWDER和CHOWDER的生存预测c-index分别达到0.78和0.75。两种模型都优于综合所有与生存相关的基线变量的综合评分。在TCGA数据集中进一步验证了模型的预后价值,并且,正如发现集上观察到的,两种模型比结合所有与生存相关的基线变量的评分具有更高的区分能力。病理回顾显示,预测较差生存的肿瘤区域以血管间隙、macrotrabecular architectural结构模式和缺乏免疫浸润为特征。 * 结论 本研究表明,人工智能可以帮助细化HCC预后预测。它强调了病理学家/机器交互对于构建深度学习算法的重要性,深度学习算法受益于专家知识,并允许对其输出进行生物学理解。 审阅人: 方子介 代码链接: 无 数据集: * Henri Mondor Hispital(训练集+验证集、内部数据) * TCGA(下游验证) 简要评价: 1. 模型比较简单 疑惑的点: 讨论: # 背景介绍 肝细胞癌(HCC)是世界范围内第四大癌症相关死亡原因,其发病率在大多数西方国家呈上升趋势。约三分之二的HCC患者被诊断为晚期。由于复发率高(高达70%-80%),手术切除、经皮穿刺等疗效治疗受到阻碍。为了制定更好的治疗策略和研究辅助全身治疗的潜在益处,需要改进对临床预后不良患者的识别。 # 动机 在在大多数人类癌症中,预后与病理密切相关。事实上,肿瘤组织的组织学分析为患者的分层和治疗分配提供了至关重要的信息。WSI数字化和计算/数学图像处理的最新发展有望改善和规范各种病理和形态学分析,也可能有助于提取“隐藏”的图像特征,可能提供有用的临床和/或生物信息。 # 核心总览 1. 半监督方法  2. 半监督+肿瘤区域标注方法  # 内容 1. 数据清洗Protocol  2. 数据预处理 WSI切分为`224x224`后,输入ResNet50进行特征提取 3. 模型结构 * FC + Top-Max/Min-K + FC * 对于标注的肿瘤区域,使用ABMIL 4. Loss Function * Smooth C-index Loss 5. 高风险/低风险患者分层 * 预测Risk的中位数 6. 可解释性分析 * 降维:UMAP * 聚类:K-Means # 实验对比分析 ## 交叉验证结果 1. 准确率(c-index)  2. 患者分层效果(HR)  3. 按照某一预后特征将患者分层后,提出的深度学习框架依然能够将患者区分为高/低风险组,表明其是一个独立的预后因素(生存性曲线)  ## TCGA外部验证结果   ## 可视化分析结果 1. 预测高风险和低风险tile中包含的典型特征  2. 降维后可视化分析结果,可见高风险tile和低风险tile能够在可视化图上区分开  3. 聚类结果。可见高风险tile和低风险tile位于不同的cluster中  # 总结 在本研究中,根据组织学切片开发了两个深度学习模型,用于预测手术切除HCC后的生存。本文的算法比经典的临床、生物学和病理学特征更准确地预测生存。两种模型比所有与HCC预后相关的常见变量的组合具有更大的鉴别性能。 # 备注
所有评论
暂无评论
新增评论
评论
邮箱
邮箱仅作验证使用
图形验证码
邮箱验证码
发送验证码
发表评论
所有评论
暂无评论